AYT-MAT 28. Diziler-3: Geometrik Diziler
Geometrik Dizi
Ardışık terimleri arasındaki oranı sabit olan dizilere geometrik dizi denir
\(r\in R-\{0\}\) olmak üzere
\[\frac{a_2}{a_1}=\frac{a_3}{a_2}=...=\frac{a_n}{a_{n-1}}=r \]
ise, \((a_n)\) dizisi bir geometrik dizidir. r gerçek sayısı, bu dizinin ortak çarpanıdır.
- \((a_n)\) geometrik dizisinin genel terimi: \(a_n=a_1.r^{n-1}\)
İspat
İlk terimi \(a_1\) ve ortak çarpanı r olan bir \((a_n)\) geometrik dizisinin genel terimi;

\(a_n=a_p.r^{n-p}\)
ISPAT:
- \(a_4=a_1.r^3\)
- \(a_7=a_1.r^6=a_1.r^3.r^4\)
- \(a_7=a_4.r^4\)




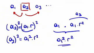
- Bir geometrik dizideki herhangi bir terimin karesi, kendisinden eşit uzaklıktaki iki terimin çarpımına eşittir.
- \(2, 4, 8, 16, 32\) terimleri için: \(8^2=4.16=2.32\)

- Iki terimin indis numaraları toplamının yarısı, çarpımlarının eşit olduğu terimin indisini verir.


Sonlu bir geometrik dizide, baştan ve sondan eşit uzaklıkta bulunan terimlerin çarpımı birbirine eşittir.
- \(a_1.a_n=a_2.a_{n-1}=...=a_k.a_{n-k+1}\)
- Bu ikili terimlerin indisleri toplamı da birbirlerine eşittir.

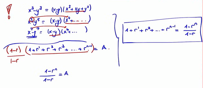
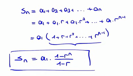
İlk terimi \(a_1\) ve ortak çarpanı r olan \((a_n)\) geometrik dizisinin ilk n teriminin toplamı \(S_n\)
\[S_n=a_1.\frac{1-r^n}{1-r} \]
ile bulunur.








