Mathematics: 37. Türev-2: Türev Alma Kuralları-1
Bir Noktada Türevlenebilme Şartı
Tek değişkenli reel değerli bir fonksiyonun herhangi bir a noktasında türevinin var olması için
- Fonksiyon a noktasında tanımlı olmalıdır.

- Fonksiyon a noktasında sürekli olmalıdır. Aşağıdaki süreksiz bir a noktasıdır.

- Fonksiyon a noktasında kırılmasız olmalıdır. Kırılma noktalarında türev yoktur çünkü sivridir ve teğet herhangi bir yerden çekilebilir. Aşağıdaki kırılmış bir noktadır.

- x=a noktasında türevi tanımlayan limit mevcut olmalıdır.
Bir fonksiyon tanım kümesindeki her noktada türevlenebilir ise öyle fonksiyonlara türevlenebilir denir.
Sabit Fonksiyonun Türevi
\(c\in R\) olmak üzere, f(x)=c ise \(f`(x)=0\) dır.

Başka bir değişle sabit fonksiyonların türevi daima sıfırdır.
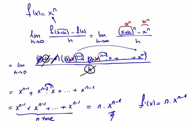
f(x)=c.x^n Fonksiyonlarının Türevi
\(a^n-b^n\) nin çarpanlara ayrılması
- Not: Bu doğru olmayabilir. Araştır.
f(x) fonksiyonunun tanımlı olduğu değerlerde
\(n\in R^+\) ve \(c\in R\) olmak üzere
\(f(x)=x^n\) fonksiyonunun türev fonksiyonu \(f`(x)=n.x^{n-1}\) dir.

- Yani n kuvveti aşağı çarpma durumunda aşağı indirilir, üstteki de bir azaltılır.
\(f(x)=c.x^n\) fonksiyonunun türev fonksiyonu ise \(f`(x)=c.n.x^{n-1}\) dir. Çünkü limitte sabit sayılı çarpanlar limitin dışına atılabilir.
Bu fonksiyonlarda birden fazla terim varsa, her terime ayrı ayrı bu kural uygulanabilir. Örneğin:
- \(f(x)=ax^2+bx+c\to f`(x)=2ax+b\)
- Terimlerin aralarında çarpma değil toplama/çıkarma işlemi olduğuna dikkat et.
f(x)=(c)/(ax^n) Fonksiyonlarının Türevi
f(x) fonksiyonunun tanımlı olduğu değerlerde \(n\in R^+\) ve \(c\in R\) olmak üzere
\[f(x)=\frac{c}{ax^n}\to f`(x)=\frac{c.-n}{a.x^{n+1}} \]
Bölüm kısmındaki değişkeni üste alıp kuvvetine eksi eklenerek ve bir önceki başlıkta verilen özellik kullanılarak bu sonuca varılır.
f(x)=x^{1/2} Fonksiyonlarının Türevi
\(n\ge 2\) ve \(n\in Z\) olmak üzere
\[f(x)=\sqrt[n]{x}=x^{1/n}\to f`(x)=\frac{1}{n}.x^{(1/n)-1}=\frac{1}{n}.\sqrt[n]{x^{1-n}} \]
\(n=2\) olmak üzere
\[f(x)=\sqrt[2]{x}\to f`(x)=(1/2).x^{(1/2)-1}=\frac{1}{2\sqrt{x}} \]


Iki Fonksiyonun Toplamının ve Farkının Türevi
f ve g türevlenebilen iki fonksiyon olmak üzere
\[\frac{d}{dx}(f(x)\pm g(x))=[f(x)\pm g(x)]`=f`(x)\pm g`(x) \]
\(d(f`(x))/dx\) türevin türevinin alınmasını ifade eder. \(f``(x)\) şeklinde de gösterilebilir.


