Mathematics: 38. Türev-3: Türev Alma Kuralları-2
İki Fonksiyonun Çarpımının Türevi
\[\frac{d}{dx}[f(x).g(x)]=[f(x).g(x)]`=f`(x).g(x)+g`(x).f(x) \]
Bir fonksiyonun ikinci türevi, bu fonksiyonun türevinin türevidir.
- \(f``\) ile gösterilir. \(f``\) bulmak için \(f`\) nin türevi alınır.
- Eğer aralarında ikiden fazla çarpma işlemi varsa da bu kural aynen uygulanabilir: Çarpılan kısımlardan birinin türevi çarpı geri kalan kısım artı ikincisinin türevi çarpı geri kalanı artı üçüncüsünün türevi çarpı geri kalanı....

\(f(x)=x^3-2x\) ve \(g(x)=x^2+2\) için \((f.g)``(x)\) bulunmak istenirse:
- \([(f.g)`(x)]`=[f`(x).g(x) + g`(x).f(x)]`\)
- Sonuçtaki artı işareti ile ayrılan çarpma işlemlerine de çarpımların türevi kuralı uygulanır. (Birincinin türevi çarpı ikinci artı ikincinin türevi çarpı birinci)
- \(=(f``(x).g(x)+g`(x).f`(x))+(f`(x).g`(x)+g``(x).f(x))\)

İki Fonksiyonun Bölümünün Türevi
g(x) sıfırdan farklı olmak üzere
\[\frac{d}{dx}[\frac{f(x)}{g(x)}]`=[\frac{f(x)}{g(x)}]`=\frac{f`(x).g(x)-g`(x).f(x)}{[g(x)]^2} \]
- Sözel olarak şöyle ifade edilebilir: [(Bölümün türevi çarpı bölen) - (bölenin türevi çarpı bölüm)] / (bölenin karesi)
Eğer aşağıda veya yukarıda ek olarak fonksiyonların çarpımlarının türevinin de alınması gerekiyorsa almayı unutma.





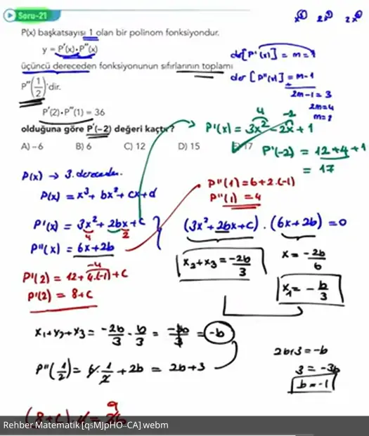
Bu soruyu bi ara tekrar çöz. Baya öğretici.

