Fonksiyonlar-3
Fonksiyonlarda Dört İşlem
A ve B ayrık olmayan iki küme olmak üzere,
\(f:A\to R\) ve \(g:B\to R\) fonksiyonları için;
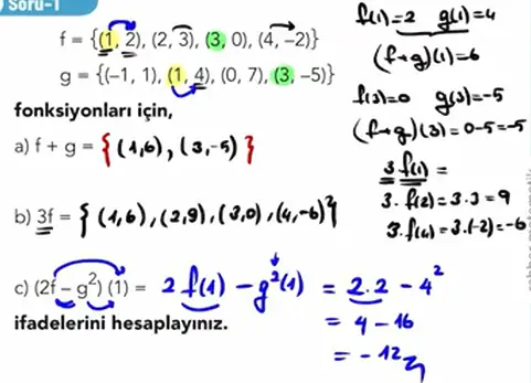
- \(f+g:A\cap B\to R\)
\((f+g)(x)=f(x)+g(x)\) - \(f-g:A\cap B\to R\)
\(f(-g)(x)=f(x)-g(x)\) - \(f.g:A\cap B\to R\)
\((f.g)(x)=f(x).g(x)\) - \(f/g:A\cap B\to R\)
\((f/g)(x)=f(x)/g(x),\quad g(x)\ne 0\)
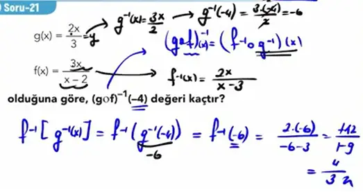
Ters Fonksiyon
\(f:A\to B\) ve \(f(x)\) fonksiyonu bire bir ve örten ise f fonksiyonunun tersi \(f^{-1}:B\to A\) tanımlıdır.
- \((f^{-1})^{-1}=f\): Bir fonksiyonun tersi kendisidir.
- \(f\) ile \(f^{-1}\) in grafikleri \(y=x\) doğrusuna göre simetriktir.
- \(f^{-1}\) kuralının fonksiyon olması için \(f\)'in bire bir ve örten bir fonksiyon olması gerekir.
Bir fonksiyonun tersini bulmak için x yalnız bırakılır. Ardından x yerine y, y yerine x yazılır.
- \(f(x)=y=ax+b\) ise \(f^{-1}(x)=y=(x-b)/a\)
Başka bir fonksiyon tersinin değerini bulma yöntemi ise \(f(x)=y\) denklemini \(f^{-1}(y)=x\) şeklinde yazmaktır.
- Örneğin: \(f(x)=7x-6\) ise \(f^{-1}(15)=y\),
- \(f(y)=7y-6=15\), \(y=3\) olarak bulunur.
- \(f(x)=\frac{ax+b}{cx+d}\to f^{-1}(x)=\frac{-dx+b}{cx-a}\)
Yukarıdaki x'in katsayısı ile aşağıdaki sabit sayı eksi ile çarpılarak yer değiştirir. - \(f(x)=\frac{2x+1}{3x-4}\to f^{-1}(x)=\frac{4x+1}{3x-2}\)
- \(f(x)=\frac{3}{5x-2}\to f^{-1}(x)=\frac{2x+3}{5x}\)
Yukarıdaki x'in katsayısı 0 dır.
Bileşke Fonksiyon
\(f:A\to B\) ve \(g:B\to C\) olmak üzere,
A kümesinin elemanlarını C kümesinin elemanlarına eşleyen fonksiyona f ile g nin bileşke fonksiyonu denir.
- g bileşke f fonksiyonu \((gof)(x)\) ile gösterilir.
- Bileşke fonksiyonlarda işlem yapmaya en sağdan başlanır. \((gof)(x)=g(f(x))\)
I birim fonksiyon olmak üzere,
- \(f\ne g\ne I\) ise \((fog)(x)\ne (gof)(x)\)
- \((f^{-1}of)(x)=I(x)=x\)
- \((fog)^{-1}(x)=(g^{-1}of^{-1})(x)\)
- \((f^{-1}og)^{-1}(x)=(g^{-1}of)(x)\)
- \((fog)(x)=h(x)\) ise \(f(x)=(hog^{-1})(x)\)
- Çünkü her tarafa sağdan \(og^{-1}\) bileşke işlemi uygulandığında \((fog)og^{-1}(x)=(hog^{-1})(x)\) olur. \((gog^{-1})(x)=x\) olduğundan solda geriye sadece \(f(x)\) kalır.
- Bu bileşke işlemi sağdan da uygulanabilir. \((fog)(x)=h(x)\) ise \(f^{-1}o(fog)(x)=(f^{-1}oh)(x)\) yani \(g(x)=(f^{-1}oh)(x)\) olur.
Questions
Easy





















- Bu soruyu tekrar çözmeliyim.
