Modern Atom Teorisi-2
Nötr Atomların Elektron Dizilimleri ve Periyodik Sistemdeki Yerleri
Atomdaki her enerji düzeyinin alabileceği elektron sayısı farklıdır. 5. enerji düzeyine kadar her enerji düzeyimdeki maksimum elektron sayısı, n baş kuantum sayısı olmak üzere \(2n^2\) formülü ile bulunur.
- Bir katmandaki orbital sayısı \(n^2\) ile bulunur.
| Katman | Baş Kuantum Sayısı (n) | Elektron Sayısı (\(2n^2\)) | Orbitaller |
|---|---|---|---|
| 1 (K) | 1 | \(2(1)^2=2\) | s |
| 2 (L) | 2 | \(2(2)^2=8\) | s,p |
| 3 (M) | 3 | \(2(3)^2=18\) | s,p,d |
| 4 (N) | 4 | \(2(4)^2=32\) | s,p,d,f |
Aufbau Kuralı
Atomun temel halinde, elektronların en düşük enerjiye sahip orbitalden başlayarak sıra ile en yüksek enerjili orbitale doğru doldurulması gerektiğini belirten kuraldır.
Orbital enerjileri \(n+l\) değerlerinin arması ile artar. (baş kuantum sayısı + açısal momentum kuantum sayısı)
Aşağıdaki tabloda ok yönü takip edildiğinde orbitallerin enerji sıralaması aşağıdaki şekildedir.

\[1s < 2s < 2p < 3s < 3p < 4s < 3d < 4p < 5s < 4d < 5p < 6s < ... \]
Orbitaldeki elektron sayısı arttıkça orbitalin enerjisi artar.

- En yüksek enerjili orbital ile en dış katmanda bulunan orbital farklı olabilir. Baş kuantum sayısı hangisinde en büyükse o en dıştadır.
Hund Kuralı
Elektronlar, eş enerjili orbitallere, önce boş orbitallere aynı spinli olacak şekilde birer birer yerleştirilir. Daha sonra elektron sayısı, elektronlar zıt spinli olacak şekilde ikiye tamamlanır.


Pauli İlkesi
Pauli ilkesi, bir atomda bulunan iki elektronun 4 kuantum sayısının da aynı olamayacağını belirtir.
Bu ilkeye göre, herhangi iki elektronun \(n,l,m_l\) değerleri aynı olsa bile \(m_s\) değerleri farklı olmalıdır.

Bir orbitalde iki aynı spin değeri olan elektron bulunamaz.
Çok Elektronlu Atomların Elektron Dizilimi
Nötr bir atomun elektron dizilimi elektron veya proton sayısına göre yapılabilir.
Elektron dizilimi temel olarak baş kuantum sayısı, orbitalin türü ve orbitaldeki elektron sayısı belirtilerek yazılır.
\[3s^1 \]
- 3: Baş kuantum sayısı (n)
- s: Orbital türü (l)
- 1: Orbitaldeki elektron sayısı
Örneğin \({}_20Ca\) elementinin elektron dizilimini ve orbital şeması göstermini aşağıdaki şekildedir.
\[1s^2, 2s^2, 2p^6, 3s^2 3p^6, 4s^2 \]
Elektron dizilimi soy gazlara bağlı olarak daha kısa şekilde yazılabilir \(({}_2He, {}_{10}Ne, {}_{18}Ar, {}_{36}Xe, {}_{86}Rn)\)
Örneğin; Ca için:
\[[{}_{18}Ar], 4s^2 \]
Şeklindedir. \(({}_{18}Ar: 1s^2, 2s^2, 2p^6, 3s^2, 3p^6)\)
İyonların Elektron Dağılımı
Nötr atomlar elektron vererek katyona, elektron alarak anyona dönüşürler. Katyon veya anyon halindeki iyonların elektron dizilimleri elektron sayılarına göre yapılır.
Örneğin; \({}_{11}Na\) atomunun elektron dizilimi;
\[{}_{11}Na: 1s^2, 2s^2, 2p^6, 3s^1 \]
Şeklindedir.
Na elementi 1 elektron verip katyon oluştururken 10 elektronu kalır ve bu durumdaki elektron dizilimi:
\[{}_{11}Na^+: 1s^2, 2s^2, 2p^6 \]
Şeklinde olur.
Katyon ve anyon oluşumu sırasında öncelikle en son katmandaki enerjisi en yüksek olan orbitaldeki elektronlar alınır veya verilir. Çünkü en yüksek enerji düzeyindeki elektronlar çekirdek tarafından en zayıf çekilen elektronlardır. (en dış katman, baş kuantum sayısı en yüksek olan katmandır. Dizilimdeki en son eleman değildir.)




Kolaylık olması açısından önce nötr halini yazıp sonra yüküne göre elektron kopartma işlemine geçebilirsin.
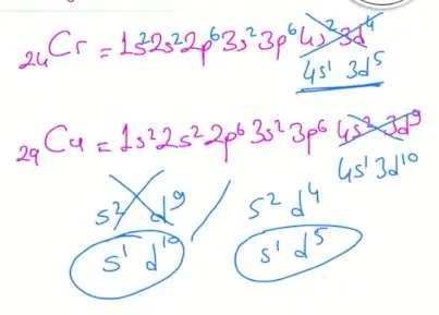
Elektronlar \(s^2,d^4\) yerine \(s^1,d^5\); \(s^2,d^9\) yerine \(s^1,d^10\) şeklinde dizilir.
Değerlik Elektronları, Değerlik Orbitalleri
Atomun en yüksek enerji düzeyindeki orbitallerine değerlik orbitalleri, değerlik orbitallerdeki elektronlara değerlik elektronları denir.
- Değerlik elektronları, A grubu elementleri için son katmandaki elektronlardır.
- B grubu elementleri için son katmandaki elektronlarla birlikte genelde bir alt katmandaki d orbitalinde yer alan elektronlar da değerlik elektrondur.
| Elektron dağılımındaki son orbital | Değerlik orbitali | Değerlik elektron sayısı |
|---|---|---|
| \(s^a\) | \(s\) | \(a\) |
| \(p^n\) | \(s^2\) ve \(p^n\) | 2+n |
| \(d^n\) | \(s^a\) ve \(d^n\) | a+n |
- Bir elektron dizilimi s ile bitiyorsa değerlik orbitali s'dir. İçindeki elektron sayısı kaçsa değerlik elektron sayısı da odur.
- Elektron dizilimi p ile bitiyorsa aynı katmanda bir de s orbitali bulunur. Değerlik elektronları bu s ve p de bulunan elektronlardır. p'den önceki s daima 2 dir.
- Elektron dizilimi d ile bitiyorsa değerlik orbitalleri bu d ve ondan önceki s orbitalidir. Bunların katman sayıları farklıdır. Değerlik elektronları ise bu orbitallerde bulunan elektronlardır.
\[{}_8O: 1s^2, 2s^2, 2p^4 \]
- Değerlik elektron sayısı: 6
- Değerlik orbitalleri: s ve p
\[{}_{21}Sc: [{}_{18}Ar] 4s^2 3d^1 \]
- Değerlik elektron sayısı: 3
- Değerlik orbitalleri: s ve d
Elektron Diziliminde İstisnalar (Küresel Simetri Durumu)
Bir atomun elektron dizilimindeki son orbital türü tam dolu veya yarı dolu ise atom küresel simetri özelliği gösterir.
- \({}_2He: 1s^2\)
- \({}_{15}P: 1s^2,2s^2,2p^6,3s^2,3p^3\)
- \({}_{11}Na: 1s^2,2s^2,2p^6,3s^1\)
- \({}_{30}Zn: 1s^2,2s^2,2p^6,3s^2,3p^6,4s^2,3d^{10}\)
Atomlarının son orbitalleri \(s^1,s^2,p^3,d^10\) olduğundan küresel simetrik yapıya sahiptirler.
Elektron diziliminin küresel simetrik olması atoma kararlılık kazandırır. Bu nedenle, elektron dağılımı \(s^2,d^4\) veya \(s^2,d^9\) ile biten bazı geçiş elementleri kararlı yapıya ulaşmak için elektron dağılımlarını küresel simetriye uydururlar. Bu durum temel haldir.
\[{}_{24}Cr: 1s^2,2s^2,2p^6,3s^2,3p^6,4s^1,3d^5 \text{ (4s2 3d4 olması gerekirken)} \]
\[{}_{29}Cu: 1s^2,2s^2,2p^6,3s^2,3p^6,4s^1,3d^{10} \text{ (4s2 3d9 olması gerekirken)} \]
Küresel simetriye benzeyen B grubu elementlerinin dışında elektronların dışından enerji alarak yüksek enerjili orbitale geçişlerine uyarılma denir. Uyarılmış atomlar kararsız yapıya sahiptirler.
\[{}_6C: 1s^2,2s^2,2p^2 \text{ (Temel haldeki atom)} \]
\[{}_6C: 1s^2,2s^1,2p^3 \text{ (Uyarılmış haldeki atom)} \]
Her iki durumda da \({}_6C\) elementinin çekirdek yapısı, kimyasal özelliği aynıdır. Ancak uyarılmış C atomu daha yüksek enerjilidir.
Her ne kadar örnekteki karbonun uyarılmış yapısı küresel simetriye benzese ve temel hali bu olması gerekiyormuş gibi gözükse de öyle değildir.
- s ve d orbitalleri arasındaki enerji farkı az olduğu için elektronlar iki orbital arasında daha rahat geçiş yapıp kendilerini küresel simetriye uydurabilirken,
- s ve p orbitalleri arasındaki enerji farkı daha yüksek olduğu için böyle bir geçiş normal şartlarda olmaz.
Elektron dizilimleri yardımıyla periyodik sistemde yer bulma
Elementler periyodik sisteme proton sayılarına (atom numaralarına) göre yerleştirildiklerinden dolayı atom numarası bilinen bir elementin periyodik sistemdeki yeri bulunabilir.
Elementlerin temel haldeki elektron dizilimleri yazıldığında;
- En büyük baş kuantum sayısı elementin periyodik sistemdeki periyodunu verir.
- Değerlik elektron sayısı elementin grup numarasını verir.
- Toplam değerlik elektron sayısı 10'dan büyükse grup numarasını bulmak için bu sayıdan 10 çıkarılır.
Elektron dizilimindeki en son orbital s ise element s blokta, p ise p blokta, d ise d blokta, f ise f blokta bulunur.
Elementin son orbitali;
- \(s^n\) ise nA grubunda,
- \(p^n\) ise aynı katmanda daima bir \(s^2\) bulunduğundan (n+2)A grubunda (baş grup elementi),
- \(d\) ise B grubunda (yan grup elementi),
- \(f\) ise lantinit-aktinit serisinde yer alır.
Eğer son orbital \(d^n\) ile bitiyorsa, ondan önce mutlaka bir \(s^a\) orbitali vardır.
- a+n: 8,9 veya 10 ise element 8B grubunda bulunur.
- a+n > 10 ise element (a+b-10)B grubunda bulunur.
- a+n < 8 ise element (a+n)B grubunda bulunur.
Helyum bir istisnadır ve 8A grubunda bulunur.


IUPAC'a göre gruplar, periyodik sistemin en solundan 1 den başlayarak 18'e kadar sadece numaralarla belirtilir.
Periyodik tabloda yer proton sayısına göre bulunur, elektron değil!
Questions


- Y de 15 o-proton, X'de 8 proton vardır. Bunların elektronlara uyguladıkları çekim gücü farklıdır ve bu sebeple 1. orbitallerindeki elektronların enerjileri de farklıdır.























